Biegen Sie Bendywood® Handläufe nicht direkt am Geländer!
Biegen Sie die Handläufe an einer Schablone vor und überbiegen Sie dabei um c.ca 30%!In folgendem Link finden Sie die Anleitung dazu:
Wie werden Handläufe gegen eine Schablone gebogen?Bendywood® Handläufe können bis zu einem Radius des 20-fachen Profil-Querschnitts gebogen werden, z.B. ein 40 mm Rundprofil bis zu einem Radius von 800 mm, ein 50 mm Profil bis zu einem Radius von 1.000 mm.
Beim grenzwertigen Biegen ist eine Holzfeuchte von ca. 12% erforderlich!
Siehe unter 2. Wie Bendywood® biegen und befeuchten.
Bendywood® Handläufe werden mit einer Holzfeuchte von ca. 12% ausgeliefert.
Die Handläufe müssen nicht sofort gebogen werden: verpackt hält die Holzfeuchte gute 2 Monate lang.
Entnehmen Sie die Handläufe erst dann aus der Verpackung, wenn Sie mit dem Biegen beginnen.
ACHTUNG:
Vorgebogene Handläufe öffnen sich nach dem Lösen aus der Schablone: sie wurden „überbogen“d.h. mit kleineren Biegeradien gebogen, damit sie nach dem Aufgehen passen.
Siehe dazu folgenden Link: „Rückbiegung nach Lösen aus der Schablone“.
Die lieferbaren Bendywood® Handläufe sind im Katalog abgebildet, siehe unter: Katalog
Die biegbaren Handläufe sind:
- aus massivem Hartholz
- fertig profiliert, in roh geschliffen
- mit Holzfeuchte 12%, bereit zum Biegen
BIEGEN NUR VON HAND:
a. An einer flachen Schablone einen steigenden Handlauf biegen:
bei Spindeltreppen die einfachste und beste Lösung!
Dafür eignen sich auch die Handläufe mit normaler Verzinkung ![]()
Video für ein Rundprofil:
Video für ein Rundprofil mit Abplattung:
BESONDERS WICHTIG:
Im nachstehenden Video sehen Sie wie ein solcher Handlauf steigend montiert wird:
Das flach Vorbiegen hat folgende Vorteile:
- Die Transportkosten sind wesentlich günstiger als die von langen geraden Profilen.
- Es ist möglich, die steigende Biegung erst bei der Montage vorzunehmen.
- Es ist auch möglich, normales Holz mit Biegeholz zu kombinieren.
- Auch Längen - als Sonderanfertigung - bis zu 12 m sind möglich.
- Profile mit Nut sind ebenfalls möglich.
b. An einem Montagegestell biegen:
Falls flaches Vorbiegen nicht möglich ist wie z.B. bei stark steigenden Handläufen, und falls in 3D
vorgebogen werden soll, werden dafür spezielle Schablonen benötigt.
Abbildungen und Beispiele finden Sie unter: Biegeschablonen für Bendywood®
BIEGEN MITTELS ROLLEN-BIEGEMASCHINEN:
- Ausschließlich schrägverzinkte Handläufe
können mit der Rollen-Biegemaschine vorgebogen werden (bis zu einem Radius von 1 : 30), weil nur eine Schrägverzinkung der maschinellen Belastung der Biegemaschine standhalten kann. Ein Handlauf mit einem Durchmesser von 40 mm, zum Beispiel, kann so bis zu einem Radius von 1.200 mm gebogen werden. Die Biegung bis 1 : 20 - falls notwendig - muss dann von Hand an einer Schablone oder am Geländer erfolgen. Siehe dazu das nachstehende Video:
- Stellen Sie den Biegeradius schrittweise enger ein, wobei Sie den Handlauf nicht mehr als 3-mal durch die Rollen der Biegemaschine laufen lassen. Bedenken Sie, dass die Rollen-Biegemaschine das Holz walzt und gewalztes Bendywood® schneller an die Grenzen der Biegbarkeit kommt. Biegen Sie deshalb einen 40 mm starken Handlauf, zum Beispiel, nur bis zu einem Radius von 1.200 mm mit der Biegemaschine. Danach sollten Sie den Handlauf von Hand weiterbiegen.
- Die normalverzinkten Handläufe
können NICHT mit der Rollen-Biegemaschine gebogen werden.
WIE HANDLÄUFE, DIE NICHT RUND SIND, STEIGEND BIEGEN?
Handläufe drehen sich um die eigene Achse, wenn sie steigend gebogen werden: diese Torsion ist bei Rundhandläufen nicht sichtbar, da ein rundes Profil, das sich dreht, immer rund bleibt. Bei anderen Profilen oder bei Rundprofilen mit Nut muss diese Torsion ausgeglichen werden, damit diese Profile flach aufliegen.
Am besten wie folgt vorgehen: (in einem Arbeitsgang)
Den Handlauf zuerst an einer flachen Schablone biegen, dann am Geländer (am besten mit Flacheisen oder Ähnlichem) von oben beginnend darauf festklemmen. Das "Drehen" mittels einer Langarm-Zwinge vornehmen, die im Abstand von c.ca 1,5 m an den Handlauf geklemmt wird, um den nötigen Hebel dazu zu haben. Den Handlauf Stück für Stück drehen und festklemmen bis die gesamte Länge aufliegt.
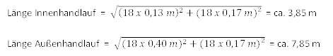
FORMEL ZUR BERECHNUNG VON HANDLAUFLÄNGEN VON SPINDELTREPPEN:

BEISPIEL:
Angenommen:
- 18 Stufen
- Stufenhöhe: 17 cm
- Auftrittsbreite unter dem Innenhandlauf: 13 cm
- Auftrittsbreite unter dem Außenhandlauf: 40 cm









